Energy gap
| Insulator | Semiconductor | Metal( Conductor) |
![]() |
![]() |
![]() ![]() |
| Energy Gap | ||
| 3.5~3.6eV 이거나 그 이상인 것 | 대략 1eV인 것 Si semiconductor은 300K에서 v alance band's electron이 conduction band로 올라간다. |
0에 가깝거나 0보다 작아서 overlap 낮은 에너지에서도 전류가 쉽게 흐름 |
Energy gap의 특성에 따라 electrical conductivity를 정의할 수 있다.
Conductivity : 전류가 얼마나 잘 흐르게 하느냐
Resistivity : 전류가 얼마나 잘 흐르지 못하게 하느냐 (저항)
Direct & Indirct Energy gap
Direct bandgap : 3족. 5족 원소들 // 전자를 높이고 낮출 때 빛이 나옴 ( 대표적인 LED)
Indirect bandgap: Si

indirect gap에서는 점프를 하고 열적 저항을 가지고 conduction band로 넘어간다
그 열적저항만큼 손실이 있을 것이다.
이제 3차원 물질에서의 전류,전압 등을 살펴보자~!
Density of State Function
Intorduction
Density of State Function * Probabiltiy Density Function = 단위 면적당 전자,정공의 농도
g(E) : 호텔의 빈 방
f(E) : 빈방에 들어갈 수 있는 확률
적분함으로서 단위 면적당 전자,정공의 개수(농도)를 구할 수 있음
[위 사진을 수학적으로 기술]
Density of State (g(E)) : 호텔의 뼈대가 되는 구조 //conduction band에서는 이러한 분포를 가지고 있다.
Occupancy Porbability : 전자가 채워져있을 확률
Carrier distributions : Density of State function과 Occupancy probability 를 곱해서 범위에 대해 적분을 하면,
해당 정공or 전자에 대한 농도값이 나온다.
정공에 대한 농도 : f (일어날 확률) / 1-f (일어나지 않을 확률)\
Density of Sates (DOS)
: 단위 에너지당 / 단위 부피당 양자 상태 [staets/cm^3/eV]
DOS 식을 semiconductor에 적용할 때. m은 effetive mass로 변경하여 계산한다.
예제 풀어보기...
Statical Mechanics
많은 수의 입자를 다룸에 있어서, 입자 하나하나를 보기 보다는 전체 그룹의 통계적 behavior을 본다.
Crystal의 경우, 전기적 특성은 전자의 statical behavior에 의해 결정된다.
입자의 statical behavior을 결정하는 데에 있어서, 입자들이 따르는 3가지 법칙을 고려해야한다.
Fermi-Dirac probabiltiy function
: 전자가 존재활 확률
Fermi-Dirac probability function을 이용하여 DoS에 전저거 얼마나 채워져있을지 계산한다
[참고]

Fermi-Dirac Probability Function
: 전자가 존재활(발견될) 확률 //해당 함수를 통해 전자,정공의 분포를 확인할 수 있다.
(GPT_) : 전자가 양자상태를 차지할 확률 ( 전자가 어떠한 level에서 quantum으로 존재하고 있을 확률)
or 전자가 차지하는 양자상태의 확률 (진짜 장난하냐 말장난이냐 ㅡㅡ 짜증나)
전자가 존재할 확률을 직접적으로 나타내는 것은 아니지만, 전자가 차지하는 양자 상태의 확률 분포를 나타냄.
뭐,,ㄱ그렇대,,,,
EF Fermi Energy //임의의 에너지에서 채워진 total quantum states의 비율 N(E) (에너지당) 부피당 입자 수 g(E) (에너지당) 부피당 quantum states //DoS
[참고]
Density of state는 단위 부피당 quantum states의 수를 의미한다.
즉, 단위 부피당 가능한 양자 상태의 수를 의미한다. //quantum state: 취할 수 있는 모든 상태
전자와 정공의 밀도
Fermi-Dirac Probability function에 density of state를 곱해서 에너지에 대해 적분하면,
해당 에너지 범위에서의 전자 혹은 정공의 밀도를 표현할 수 있다.
Fermi Probability function ( versus energy )
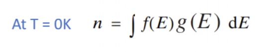
[T=0k]

| E < Ef | E > Ef | |
| Fermi-Dirac probability function | 1 | 0 |
따라서

Energy가 Ef이하일 때는 f(E)=1이니까 전자의 밀도(n)이 그냥 g(E)를 에너지 범위에 대해 적분한 것과 같다.
[T=300k]

0k이상의 온도에서는 fermi function이 Ef이하에서는 1이지만,
Ef이상에서 바로 0이 되지는 않는다. -> 따라서 fermi energy이상에서도 전자가 보일 확률을 가진다.
우측 그래프에서 1-f(E) 는 전자가 발견되지 않을 확률이다. 즉 hole이 발견될 확률이다.
<최종정리>
반도체에는 valance band와 conduction band가 있다. valance band에는 hole이 발견, conduction band에서는 electron이 energy를 받고 올라간다.
n = Si에서 전자 or 정공이 발견될 확률/밀도/농도
Si는 전기적으로 중성이다. (열을 가함으로써 전자와 정공이 계속 만들어진다 //generation & recombination )
doping을 통해
n -type doping : electron 주입 //전자가 높아짐 (증폭,,,)?
p-type doping : hole 생성 //정공이 높아짐










