Schrodinger's Wave Equation
Schorodinger's Wave Equation
- 거리에 따른 전기장과 시간에 따른 전기장은 속도로 연관되어 있다.
이를 슈레딩거에 적용하여 원자의 위치, 시간 등을 예측해보고자 한다.
- 슈레딩거 wave equation은 quantum mechanics의 중요한 개념 중 하나로,
시간에 따른 양자 시스템의 움직임을 예측하는 수학적 방정식이다.
- 슈레딩거 wave equation은 입자의 위치(x) 운동량(p)에 대한 정보를 제공한다.
이 방정식은 양자의 상호작용과 에너지 양자화를 설명하는 데에 사용한다.
- 이 방정식은 wave-particle principle의 기초가 되며, 일반적으로 허수 방정식으로 표현된다.
- 양자역학에서 입자의 위칭나 운동량을 동시에 정확하게 측정하는 것이 불가능하기 때문에(uncertainity principle, 불확정성의 원리) 양자 시스템의 상태를 확률적으로 설명하는데 사용된다.
- 해는 시공간의 wave function이다.
wave equation이란, 시간 t에서의 x,y,z위치의 quantum particle을 찾는 것이다.
Ψ(x,y,z,t)로 위치와 시간에 대한 wave funciton으로 나타낼 수 있으나,
y,z 무시하고 단순화하여 공간상으로 한쪽방향 (x)에 대해서만 움직일 것이라 가정하여,
Ψ(x,t)와 같이 x축과 시간에 대해서만 다루어본다.
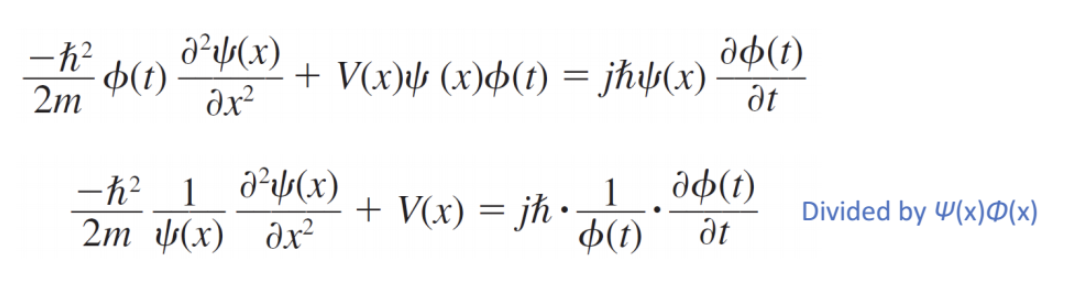
여기까지 정리를 한 뒤, 이 식에서 Ψ(x,t) = Ψ(x)φ(t)로 바꾸어준다.
//시간과 위치가 independent하여 그 교집합의 확률이 각각의 확률의 곱으로 나타내는 것을 이용한다.
아니야!!! Ψ(x)는 파동의 상태를 나타내는 파동함수이다!!
대입 후 양변에 Ψ(x)φ(t)를 나누어 식을 더욱 간단히 표현하면, 좌변은 위치(x)에 dependent하게 표현되고,
우변은 시간(t)에 dependent하게 표현된다.
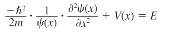
우변식에서 j는 허수이다. 허수 뒤에 붙은 시간에 대한 식을 general soluton을 통해 상수 n으로 표현한다.
시간에 따라 independent하다고 가정해주기 위하여 general solution을 통해 변수 t를 상수화한 것.
General solution에서 w=E.h(바) 를 대입하여 시간에 따른 미분방정식에 대입해주면 다 약분되고,
E(energy)만 남는다. -> t 제거 완료~!
따라서 위식에서 우변이 E가 되었다는 것은, position에 따른 미분방정식(좌변)은 결국 E(energy)와 같다는 것을 의미한다.!!
[Schorodinger's wave equation]
// 위치에 대한 미분방정식으로 표현된 wave equation이다.이를 통해 위치에 따른 양자의 존재를 예측한다.
Probabilty density function (PDF) and Boundary Conditions
- 결정(Crystal)에서의 전자의 움직임을 묘사하기 위한 wave function이다.
wave equation에서의 probabiltiy density function은 |Ψ(x)|^2 이다.
즉, |Ψ(x)|^2 해당 지점에서 전자가 발견될 확률 밀도를 의미한다.
양자역학에서 파동함수는 복소수 값을 가지며, 복소수 값의 제곱은 입자가 해당 위치에 존재할 확률을 의미한다.
하지만, 허수로 표현된 파동 함수의 제곱은 음수인데, 확률은 음수로 표현될 수 없으니 절댓값을 붙여준다.
[ PDF 적용을 위한 가정 ]
Condition1. 프사이 x는 유한하고, single-valued(단일값)을 가지며, continuous(연속적)이어야한다.
Condition2. 프사이 x를 x에 대하여 분하여도 위와 같은 특징을 모두 가져아한다.(유한,단일,연속)
Potential functions and corresponding wave function solution
:wave function에 boundary conditon이 주어지면 특정 조건에서 전자가 위치할 확률을 다음과 같이 구할 수 있다.
Potential Function
: potential function이 낮은 위치에서는 전자가 자유롭게 움직이고,
potential functon이 높은 위치일수록 전자는 움직이기 힘들어진다.
//potential function이 파동함수의 모양을 결정짓는다.
아래 potential function에 따른 wave eqution을 통해 다시 한 번 그것을 확인할 수 있다.

[ when the potential function is finite everywhere ] //infinite potential well
x<0 or x>a에서 v=v0를 가질 때, 즉, potential function이 유한한 값을 가질 때, wave form은 uniform하게 분포한다.
이것을 potential well이 무한하다고 표현할 수 있다. (벽이 없으니까~ uniform 하게)
| x<0 (v=v0) | 0<x0<a (potential | x>a (v=v0) |
| 전자가 적다 | 전자가 많다 | 전자가 적다 |
potential function이 유한하게라도 존재하는 부분에는 전자가 적지만, potential function이 0인 부분에서는 전자가 자유롭게 움직여서 해당 부분에 전자가 많이 분포하게 된다.
[ when the potential function is infinite in some regions ] //step potential barrier
x<0 or x>a에서 potential function이 한한 값을 가질 때, wave form에는 step potential barrier가 생긴다.
즉, 값이 potential function이 무한대로 가는 영역에서 갑자기 0이 된다.
| x<0 | 0<x<a (v=v0) | x>a |
| 전자가 없다 | 전자가 존재한다 | 전자가 없다 |
potential function이 크면 전자가 이동하기 어려운데 , 다음 예시에서는 무한대로 가는 potentail funtion이 주어져 해당 영역에는 전자가 아예 존재하지 않게 된다.
따라서, potential function이 0이 되는 영역에서만 전자가 barrier를 갖고 존재한다.







