Electric Field 생성
Electric Field 생성
- [내부 charge separation에 의한 E-filed 생성]
junction이후 diffusion이 일어나고 negative charge density와 positive charge density의 분리에 의해
depletion region 즉,Space charge region에 생성되며 E-field가 생성된다.
(E-filed is created in the depletion region by the separation of positive and negative space charge densities.)

- [ 거리에 따른 부피 전하 밀도(charge density) ]


pn junction에 따라 p type과 n type에 각각 과잉되어있는 전하와 정공이 diffusion된다.
그로인해 위와 같이 거리에 따른 분포가 달라지게 된다.
결과적으로 서로의 반도체에서 흘러들어온 전자와 정공이 (+) charge와 (-) charge로서 나타나기 때문에
그 내부에서 (+)에서 (-)방향으로 Electric field가 생기게 된다.
E-field 계산
Possion's Equation
전자기학에서 E-field와 elctric potential과의 관계에서 나타나는 식이 possion's eqution이다. (전자기학 chapter 6)

potential을 파이로 표현하고 있으나 물리적인 의미는 [v] 같다. //모두 +로 수정(오타)
복잡해보이나 정리하면, 전기장을 위치에 대해 미분한 것은 전하밀도를 유전율로 나눈 것과 같다는 것이다.
[ 위치에 대해 전기장 미분 = 전하밀도 * 유전율]
[ 전기장 = ( 전하밀도 * 유전율) 적분 ]

입실론s는 semiconductor의 permittivity(유전율)을 의미한다.
입실론 제로는 free-space에서의 permittivity(유전)를 의미한다.

포아송 equation을 통해 위 세가지에 대한 관계식을 나태날 수 있다.
위 파트에 대하여 이해가 되지 않는다면 전자기학을 참고하라
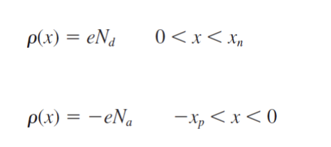
p region E-field

전기장을 구하기 위해 적분을 했을 때 적분상수 C1이 생긴다.
여기서 C1을 결정짓기 위해서 boundary condition을 적용한다.

boundary condition을 위와 같이 p type에서의
space charge region의 경계면에서의 전기장이 0인 것으로 적용하면

C1은 다음과 같이 나온다. 이를 통해 최종적으로 p region에서의 E-field를 계산하는 식은 아래와 같이 나온다.
p type에서의 space charge region의 전기장을 구한것이니 범위 역시 -xp부터 접합면인 x=0까지가 된다.

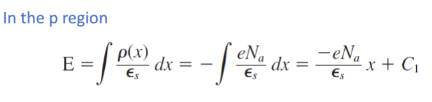
n region E-field


마찬가지로 x가 xn일 때 E-field가 0인 것을 boundary condition으로 하여
적분상수를 구하여 최종적인 식을 구하면 아래와 같이 나온다.

E-field의 연속성과 최대값
연속성
| p region E-field | n region E-field |
![]() |
![]() |
각 영역에서의 E-field식은 다음과 같으며, 두 식에서 x=0 (접합면)에서의 값은 연속성에 의해서 같아야한다.
(0에서 연속성을 가지므로 두 region의 E-field범위에 모두 0을 포함한다. )

| Ep (x=0) = En (x=0) |

x에 0을 대입하여 각 region에 대한 E-field식을 정리하면
위와 같이 "접합면으로부터의 거리와 해당 region이 농도의 곱이 서로 같다"는 의미의 식으로 정리된다.
E-field의 최대값


E-field는 (절댓값을 했을 때) x=0에서 최대값을 가진다.
따라서 pn junction의 접합면에서 가장 강한 전기장을 가지고 있다.
각 영역에 대한 E-field 식을 통해 전기장의 크기 및 거리에 따른 분포를 확인할 수 있다.

